中国日博365备用网址器

查看:11151 回复:1 发表于 2015-10-23 13:56
发表于 2015-10-23 13:56:33 | 显示全部楼层 |阅读模式

10T塔吊电气控制系统设计 毕业设计下载 [复制链接]

本帖最后由 开心 于 2016-3-8 15:25 编辑

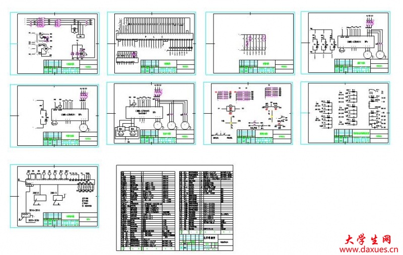
10T塔吊电气控制系统设计包含设计说明书和电气接线图

电气接线图

电气接线图

目录
摘 要        1
Abstract        2
目录        3
第一章 绪论        5
1.1 塔式起重机设计概述        5
1.2塔机的发展        5
1.3传统的塔式起重机的控制现状        5
1.4起升机构的工作原理        6
第二章 塔机总体方案设计        7
2.1 设计要求        7
2.2 设计任务        7
2.3 塔机基本结构图        7
第三章 塔式起重机机构设计及其选择        9
3.1起重机冶金用电动机        9
3.2电动机的选择方法        9
3.3起升机构        10
3.3.1起升机构电动机的选择        10
3.3.2起升机构制动器的选择        16
3.3.3起升机构减速器的选择        16
3.4变幅机构        16
3.4.1变幅机构电动机的选择        16
3.4.2变幅机构制动器的选择        18
3.4.3变幅机构减速器的选择        18
3.5旋转机构        18
3.5.1旋转机构电动机的选择        18
3.5.2旋转机构减速器的选择        20
第四章 PLC的选择与课题介绍        21
4.1 PLC的控制原理        21
4.2 用PLC控制塔机的优越性        21
4.3 塔机的电气控制设计内容        22
4.4 PLC的选型        22
4.5塔式起重机PLC控制系统原理        25
第五章 塔式起重机电气控制的硬件设计        26
5.1塔机电动机控制电路设计        26
5.2 PLC的输入输出接线设计        27
5.3流程图        28
第六章 塔式起重机控制的软件设计        29
6.1进退机构工作设计        29
6.2左、右行机构工作设计        31
6.3起升机构工作设计        33
6.5 回转机构        35
6.5声光指示控制设计        37
6.6 限位保护闭锁及复位操作设计        37
总 结        38
参考文献        39
致  谢        40

10T塔吊电气控制系统设计 毕业设计下载:
http://www.23dx.com/thread-819-1-1.html

你可能喜欢

您需要登录后才可以回帖 登录 | 注册

本版积分规则

QQ|关于我们|广告联系|手机版|日博365备用网址器| 鄂ICP备13014518号

GMT+8, 2018-1-4 20:32 , Processed in 0.160237 second(s), 31 queries .

中国日博365备用网址器 ,大学生必备网站,中国大学生门户网站

© 2009-2015 www.028lyzs.com

快速回复 返回顶部 返回列表