当前位置:首页 > 学习频道 > 电气电子

文氏电桥振荡电路

日期:2017-11-02 16:27:23 来源:大学生学习网

为克服RC移相振荡器的缺点,常采用RC串并联电路作为选频反馈网络的正弦振荡电路,也称为文氏电桥振荡电路,如图Z0820所示。它由两级共射电路构成的同相放大器和RC串并联反馈网络组成。由于φA= 0,这就要求RC串并联反馈网络对某一频率的相移φF=2nπ,才能满足振荡的相位平衡条件。下面分析RC串并联网络的选频特性,再介绍其它有关元件的作用。

 

1.jpg

图Z0820中RC串并联网络在低、高频时的等效电路如图Z0821所示。这是因为在频率比较低的情况下,(1/ωC)>R,而频率较高的情况下,则(1/ωC)

 

2.jpg

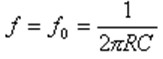
为调节频率方便,通常取R1 = R2 = R,C1 = C2 = C,如果令ω0=1/ RC,则上式简化为:

 

3.jpg

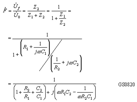
可见,RC串并联反馈网络的反馈系数是频率的函数。由式GS0821可画出的幅频和相频特性,如图Z0822所示。由图可以看出:

4.jpg

时,

6.jpg

的模最大,且|

6.jpg

| = 1/3 ,φF=0;当f大于f0时,|

6.jpg

|都减小,且φF≠0 。这就表明RC串并联网络具有选频特性。因此图Z0820电路满足振荡的相位平衡条件。如果同时满足振荡的幅度平衡条件,就可产生自激振荡。振荡频率为:

 

1.jpg

一般两级阻容耦合放大器的电压增益Au远大于3,如果利用晶体管的非线性兼作稳幅环节,放大器件的工作范围将超出线性区,使振荡波形产生严重失真。为了改善振荡波形,实用电路中常引进负反馈作稳幅环节。图Z0820中电阻Rf 和Re引入电压串联深度负反馈。这不仅使波形改善、稳定性提高,还使电路的输入电阻增加和输出电阻减小,同时减小了放大电路对选频网络的影响,增强了振荡电路的负载能力。通常Rf 用负温度系数的热敏电阻(Rt)代替,能自动稳定增益。假如某原因使振荡输出Uo增大,Rf上的电流增大而温度升高,阻值Rf 减小,使负反馈增强,放大器的增益下降,从而起到稳幅的作用。

 

2.jpg

从图Z0820可以看出,RC串并联网络和Rf、Re,正好组成四臂电桥,放大电路输入端和输出端分别接到电桥的两对角线上,因此称为文氏电桥振荡器。

目前广泛采用集成运算放大器代替图Z0820中的两级放大电路来构成RC桥式振荡器。图Z0823是它的基本电路。

文氏电桥振荡器的优点是:不仅振荡较稳定,波形良好,而且振荡频率在较宽的范围内能方便地连续调节。